Ingresa sus datos de peso, talla y circunferencia cefálica y nuestra herramienta te mostrará sus indicadores antropométricos, Z-Score y clasificación de la OMS.
Iniciar Cuestionario AhoraEs rápido, fácil y te dará información valiosa.
¡Hola, bienvenidos a VoyCreciendo.com! Somos padres que, como tú, buscamos la mejor manera de acompañar el desarrollo de nuestros niños. Por eso, creamos esta aplicación web: para facilitar el acceso a las curvas de crecimiento (según tablas de la OMS) y entender ese maravilloso transitar por sus diferentes etapas, desde neonato hasta los 17 años. Queremos ayudarte a monitorear su ritmo de crecimiento y detectar posibles riesgos de malnutrición o alteración en talla, permitiendo intervenciones personalizadas.
Con VoyCreciendo.com, obtén claridad al instante:
Ingresa los datos y conoce al instante el Z-Score de tu hijo para peso/edad, talla/edad, IMC/edad y circunferencia cefálica.
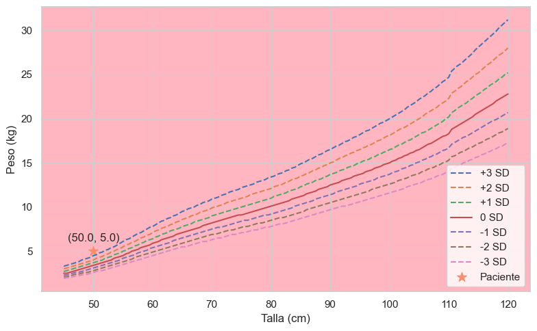
Observa el progreso de tu hijo en gráficas claras y fáciles de entender, comparadas con los percentiles de la OMS.
Recibe una clasificación nutricional (Normal, Riesgo de Desnutrición, Desnutrición, Sobrepeso, Obesidad, Talla Baja) para tomar acciones informadas.
Entiende el significado de los Z-Scores para el crecimiento de tu hijo.
Ahora ofrecemos curvas de crecimiento específicas para pacientes con Síndrome de Down, basadas en los estándares del CDC. Estas gráficas utilizan percentiles (P2, P5, P10, P25, P50, P75, P90, P95, P98) diseñados especialmente para esta población.
💜 Diseñado con amor para familias que acompañan el crecimiento de niños con Síndrome de Down
Detecta y clasifica la hipertensión arterial en niños y adolescentes con tablas de referencia validadas. El sistema calcula el percentil de presión arterial sistólica y diastólica ajustado por edad, sexo y percentil de talla — el estándar clínico más preciso para pediatría.
❤️ Herramienta de apoyo clínico para médicos y pediatras. No reemplaza el criterio médico profesional.
Encuentra el botón en esta página o en la navegación.
Nombre, fecha de nacimiento, y las últimas mediciones de peso, talla y circunferencia cefálica.
Accede a sus gráficas, Z-Scores y clasificación nutricional.
Únete a la comunidad de VoyCreciendo.com y toma el control del seguimiento del desarrollo de tus pequeños. Es gratis, fácil y diseñado para darte paz mental.
Completar Cuestionario y Ver Gráficas